40+ Calculate Elastic Collision
Elastic And Inelastic Collisions

The Gas Phase On The Mcat Medlife Mastery
Elastic Collision In One Dimension
Full Article Ir Laser Ablation Of High Boiling Elements C Mo Ta W And Re
Comparison Of Implicit And Explicit Solvent Models For The Calculation Of Solvation Free Energy In Organic Solvents Journal Of Chemical Theory And Computation
Elastic Collisions In 1d Rhett Allain S Stuff
How To Calculate Velocities Of Two Objects With Different Masses After An Elastic Collision Dummies
Elastic And Inelastic Collisions
Elastic Collision
How To Solve For The Final Velocity Of An Elastic 2d Collision Physics Study Com
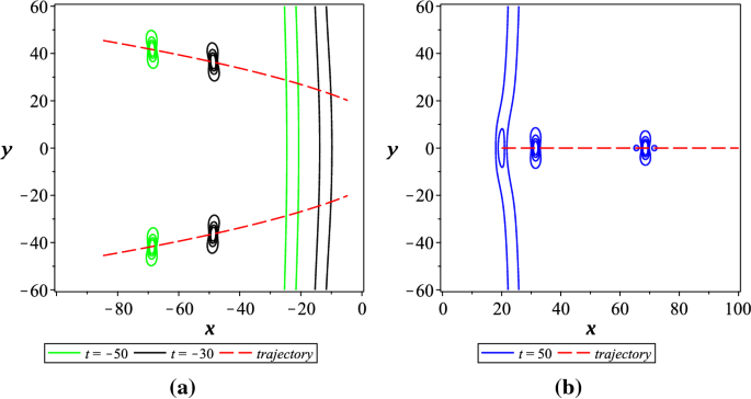
The Nonlinear Superposition Between Anomalous Scattering Of Lumps And Other Waves For Kpi Equation Springerlink
Energy Deposition And Formation Of Nanostructures In The Interaction Of Highly Charged Xenon Ions With Gold Nanolayers Sciencedirect
A 1 Dimensional Perfectly Elastic Collision You Only Have The Masses Of The Objects And Their Initial Velocities How Do You Calculate Both Of Their Final Velocities Quora
Elastic Collision
Elastic Collisions In One Dimension Physics Problems Conservation Of Momentum Kinetic Energy Youtube
An Alternate Approach To Solving 2 Dimensional Elastic Collisions Physics Forums
Elastic Collisions Formulas Examples Studysmarter
Momentum And Collisions Physics In 24 Hrs